For this answer checker, and for the write-up you hand in, round off the slope and intercept to the nearest integer (whole number). This applies to all three clinics.
What is the slope of your least squares line for clinic 1?
What is the intercept of your least squares line for clinic 1?
If those are both OK, let's test the goodness of fit statistics. Problems here indicate errors in the right half of your spreadsheet.
Is your R-squared between 0.0 and 1.0?
What is your t value? This is under the "t coeff=0" label in your spreadsheet.
To test the hypothesis that the true slope is 0, you compare your t value with a critical value that you find in the proper column and row in the t table. What is that critical value?
What is your prediction, based on the least squares line, for clinic 1 for the next month, month=12?
If everything is correct to this point, your spreadsheet is good. All you have to do for Clinic 2 is to type or paste its visit data on top of the data for Clinic 1. The spreadsheet will recalculate, and you will have your numbers for Clinic 2.
For Clinic 3, type or paste its visit data on top of the data for Clinic 2. The spreadsheet will again recalculate, and you will have your numbers for Clinic 3.
Let's check the results of your least squares regression for clinic 3:
Type the results requested for clinic 3 in the small boxes.
After typing, press Enter while you're in each box.
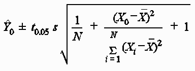
A good way to do that is to take advantage of the spreadsheet's two-dimensional layout to use spatial reasoning. Lay out the elements of the equation in the same relative positions as in the formula itself.
Here is the formula:

Here is a corresponding spreadsheet layout:
You can put this in the same spreadsheet page, like this, or you can put it in a separate tab.
Fill in the cells I have shaded green with cell references or formulas. (1/N and [X0 - Xavg]² are the only formulas you have to create in the green-shaded cells.) Then create formulas for the purple cells.
This kind of layout helps you see and fix errors, and it would help you remember what you did if you came back to this spreadsheet in six months.
Thanks for using the answer checker!